上海理工大学2024考研拟录取名单(分数、专业、录取人数)
2024/5/10 13:17:36
来源: 网络
很多考研人都在问2025考研该如何准备?2024研究生考试计划招生多少人?海天考研告诉大家当然是参考往年数据咯!近期,上海理工大学发布2024考研拟录取名单公示,还在择校的2025同学快来和海天考研梦想集训营老师一起了解一下上海理工大学往年招生专业安排、复试分数要求及录取人数等。
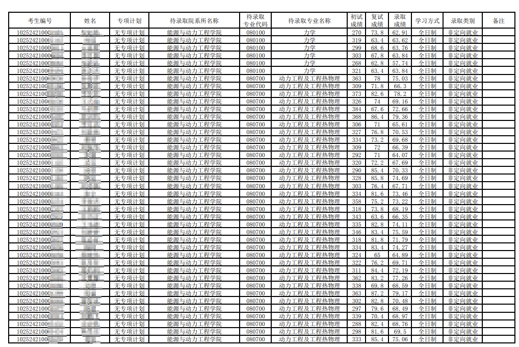
根据教育部有关文件要求,现将2024年硕士研究生待录取名单(不含推免生)予以公示,公示期为2024年4月30日至5月15日。
若对公示名单有异议,请在公示期内与我校研究生招生办公室联系。

附:2024年硕士研究生待录取名单.pdf
http://yz.usst.edu.cn/2024/0430/c3394a319614/page.htm
以上就是上海理工大学2024年研究生拟录取名单公示,准备2025考研的同学们还可以提前研究一下往年试题情况和分数情况,考研择校要慎重,多关注考研目标院校动态。海天考研梦想集训营名师提炼核心知识点多维度分析政治、数学、英语、专业课核心考点,强化答题技巧,科学备考1v1合理定制规划,助力2025研究生初试、复试备考,快加入一起复习吧!
2025考研人数达388w,考研热度依旧火热!如何备战2026考研?哪个考研专业适合自己?在职考生如何备考?考研知识点繁多,择校困难大,和海天考研咨询老师聊一聊。网课面授多项选,专业辅导1对1,全年集训随时学!

热门推荐




