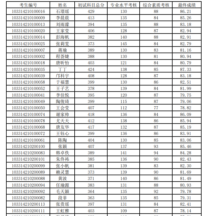
南京艺术学院2024考研拟录取名单
2024考研成绩不理想,可以调剂吗?2024研究生考试计划招生多少人?南京艺术学院公布2024年一志愿全日制硕士研究生和部分非全日制硕士研究生拟录取名单公示,还在择校的2025考研同学快和海天考研老师一起了解一下具体专业安排及复试分数要求。
经学校审议通过,现对我校2024年一志愿硕士研究生(全日制硕士研究生和部分非全日制硕士研究生)拟录取名单(附后)进行公示。
我校后期将与拟录取考生办理调档函的寄发、住宿申请、思想政治素质和品德考核、协议书的签订等手续,之后将根据实际情况陆续寄发录取通知书,请考生及时关注南京艺术学院研究生处网站。

公示期为十个工作日,现如有异议,请致电:025-83498798、025-83517761。
此为拟录取资格,正式录取资格须经过教育部的录检审核通过后方能确定。
成绩查询系统正在制作中,请耐心等待。
南京艺术学院研究生招生办公室
2024年4月8日
附件:南京艺术学院2024年一志愿硕士研究生(全日制硕士研究生和部分非全日制硕士研究生)拟录取名单公示.pdf
查看链接:https://grad.nua.edu.cn/2024/0408/c1917a105750/page.htm

以上就是南京艺术学院2024考研拟录取名单,对自己成绩没有把握的同学,可以提前研究一下往年试题情况和分数情况,考研择校要慎重,多关注考研目标院校动态。海天考研集训营老师提炼核心知识点多维度分析政治、数学、英语、专业课核心考点,强化答题技巧,科学备考1v1合理定制规划,助力2025研究生初试、复试备考,快加入一起复习吧!
2025考研人数达388w,考研热度依旧火热!如何备战2026考研?哪个考研专业适合自己?在职考生如何备考?考研知识点繁多,择校困难大,和海天考研咨询老师聊一聊。网课面授多项选,专业辅导1对1,全年集训随时学!




